

1. Vị trí dự án:
Phía Tây Nam giáp hồ NTTS;
Phía Bắc giáp nhà dân;
Phía Tây giáp nhà dân và hồ NTTS;
Phía Đông giáp sông Thanh Ba.
2. Mục tiêu dự án:
Dự án đầu tư xây dựng hạ tầng kỹ thuật khu dân cư đáp ứng nhu cầu đất ở của người dân và tăng nguồn thu cho ngân sách địa phương, góp phần chỉnh trang đô thị, từng bước hoàn thiện quy hoạch chung huyện Bố Trạch.
3. Quy mô đầu tư xây dựng:
Tổng diện tích quy hoạch của dự án là 3,88 ha bao gồm: 2,01 ha đất ở chia thành 114 lô đất ở. Dự án đầu tư các hạng mục: San nền, giao thông, cấp điện, thoát nước mưa và kè sông.
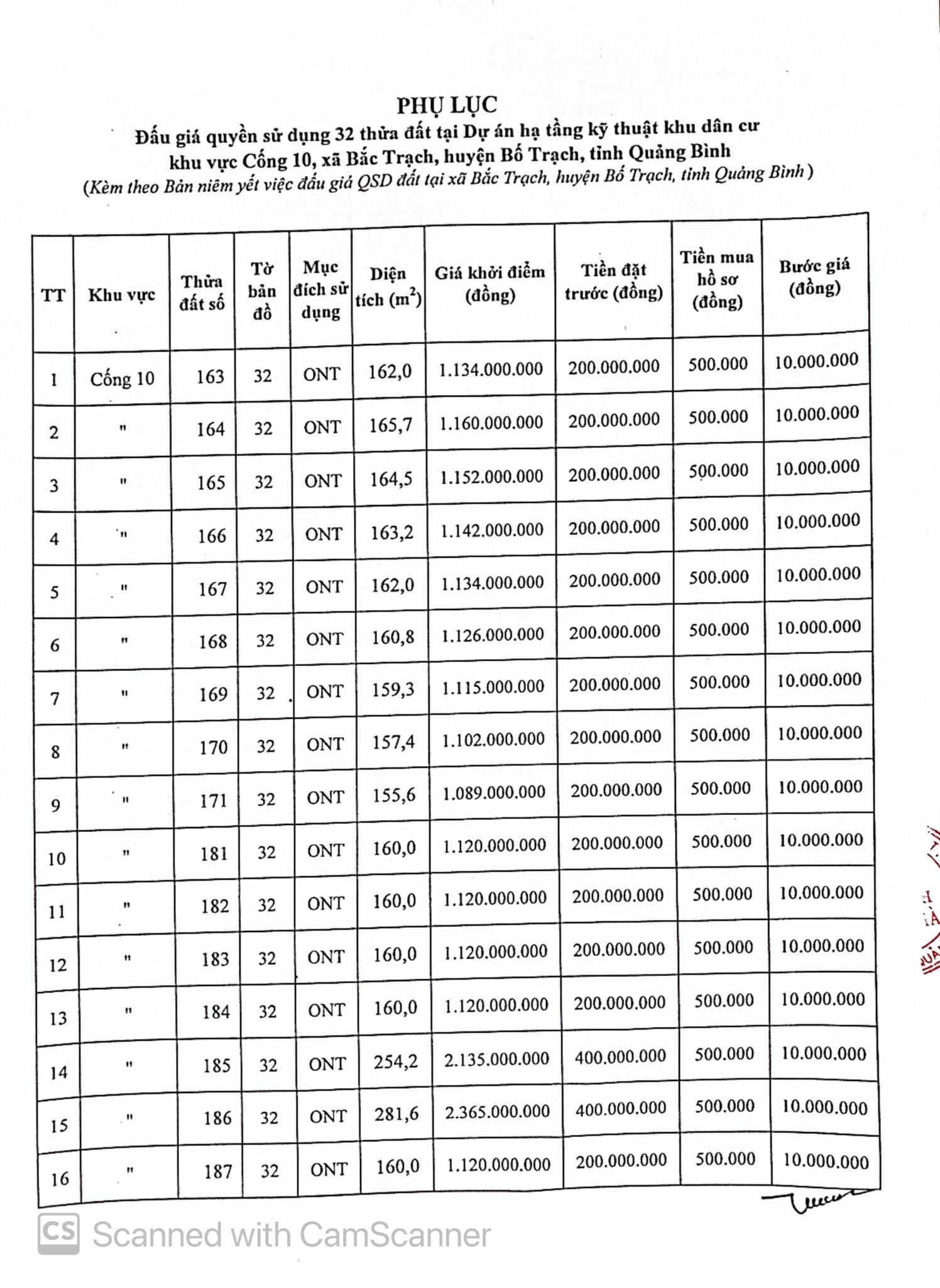
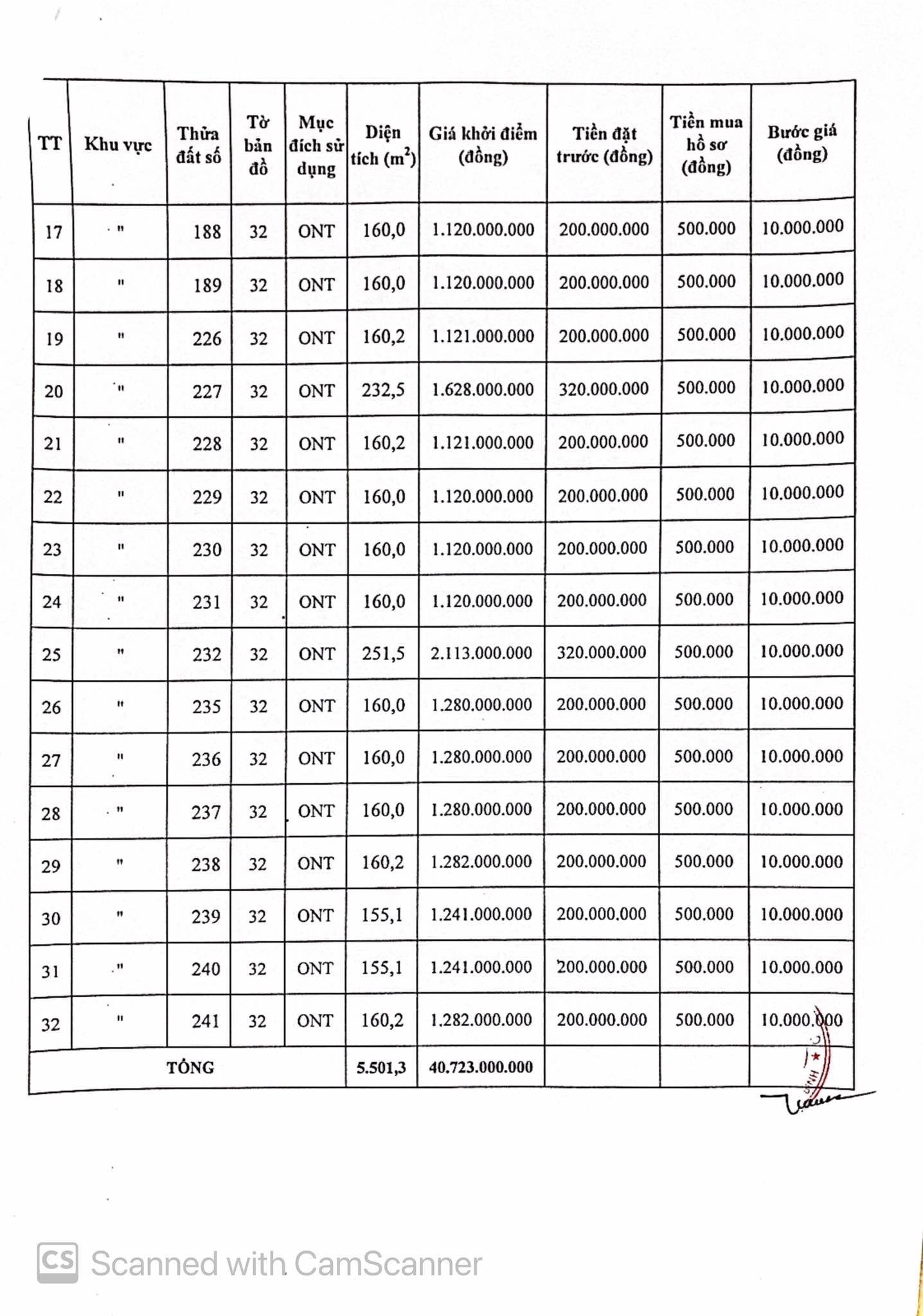
4. Thông tin đấu giá quyền sử dụng đất dự án:
- Đợt 1: từ ngày 15/10/2021 đến ngày 02/11/2021, tổ chức đưa ra đấu giá quyền sử dụng 32 lô đất (tổng diện tích 5.501,3 m2) với giá khởi điểm 40.723 triệu đồng.
Thông tin chi tiết các lô đất tại đây: Phụ lục 1, Phụ lục 2
- Đợt 2: từ ngày 16/12/2021 đến ngày 05/01/2022, tổ chức đưa ra đấu giá 63 lô đất (tổng diện tích 11.835,1 m2) với giá khởi điểm 88.859 triệu đồng. Thông tin chi tiết các lô đất tại đây.
Thời gian, địa điểm thực hiện các thủ tục đấu giá tài sản:
- Bán hồ sơ và tiếp nhận hồ sơ tham gia đấu giá: Từ ngày 16/12/2021 đến 16 giờ 30 phút ngày 05/01/2022 tại trụ sở Ban quản lý dự án Đầu tư xây dựng và phát triển quỹ đất huyện Bố Trạch.
- Xem tài sản: Từ ngày 20/12/2021 đến ngày 21/12/2021.
- Nộp tiền đặt trước: Từ ngày 31/122021 đến 16 giờ 30 phút 05/01/2022.
(Các thủ tục trên được thực hiện trong giờ hành chính các ngày làm việc)
- Tổ chức buổi công bố giá: Vào lúc 07 giờ 30 phút, ngày 08/01/2022 tại Hội trường UBND xã Bắc Trạch, huyện Bố Trạch, tỉnh Quảng Bình.
Mọi chi tiết xin liên hệ: Công ty Đấu giá hợp danh Trường Hà, số điện thoại: 0232.3896 333 và Ban quản lý dự án Đầu tư xây dựng và phát triển quỹ đất huyện Bố Trạch, số điện thoại: 0232.3611868.
5. Kết quả đấu giá quyền sử dụng đất:
- Đợt 1, ngày 05/11/2021, công bố kết quả đấu giá thành công 26/32 lô đất đưa ra đấu giá thu được số tiền 42.286 triệu đồng với tổng diện tích 4.247,8 m2; chênh lệch tăng so với giá khởi điểm là 11.087 triệu đồng.