

1. Vị trí dự án:
Dự án có vị trí nằm ngay trên trục đường Tỉnh lộ 565 của Quốc lộ 9C đi qua, có ranh giới được xác định như sau:
Phía Đông Nam giáp đường Quốc lộ 9C;
Phía Tây Bắc giáp đất ruộng lúa cách Quốc lộ 9C;
Phía Tây Nam giáp hàng rào Trụ sở Điện lực Lệ Thủy;
Phía Đông Bắc giáp ruộng lúa.
2. Mục tiêu dự án
Dự án đầu tư xây dựng hạ tầng kỹ thuật khu dân cư, giải quyết nhu cầu đất ở cho nhân dân, góp phần tạo cơ sở hạ tầng đồng bộ cho khu vực để ổn định đời sống nhân dân và phát triển sản xuất, tăng nguồn thu cho ngân sách từ đấu giá quyền sử dụng đất.
3. Quy mô đầu tư xây dựng:
Tổng diện tích quy hoạch của dự án là 3,4 ha bao gồm: 1,5 ha đất ở chia thành 80 lô nhà ở liền kề; 0,12 ha đất công cộng; 0,08 ha đất thương mại dịch vụ; 0,11 ha đất công viên cây xanh; 1,59 ha đường giao thông và đất hạ tầng kỹ thuật khác.
Dự án đầu tư các hạng mục: Giao thông, cấp điện, cấp nước, thoát nước mưa.
4. Thông tin đấu giá quyền sử dụng đất dự án:
- Đợt 1 đưa ra đấu giá 37 lô đất (tổng diện tích 7.321m2) có diện tích từ 160m2 đến 290,1 m2/lô; giá khởi điểm từ từ 320.000.000 đồng/lô đến 1.450.500.000 đồng/lô.
- Kết quả đấu giá đợt 1: 25/37 lô, thu được 31.418 triệu đồng, tăng 18.169 triệu đồng so với giá khởi điểm.
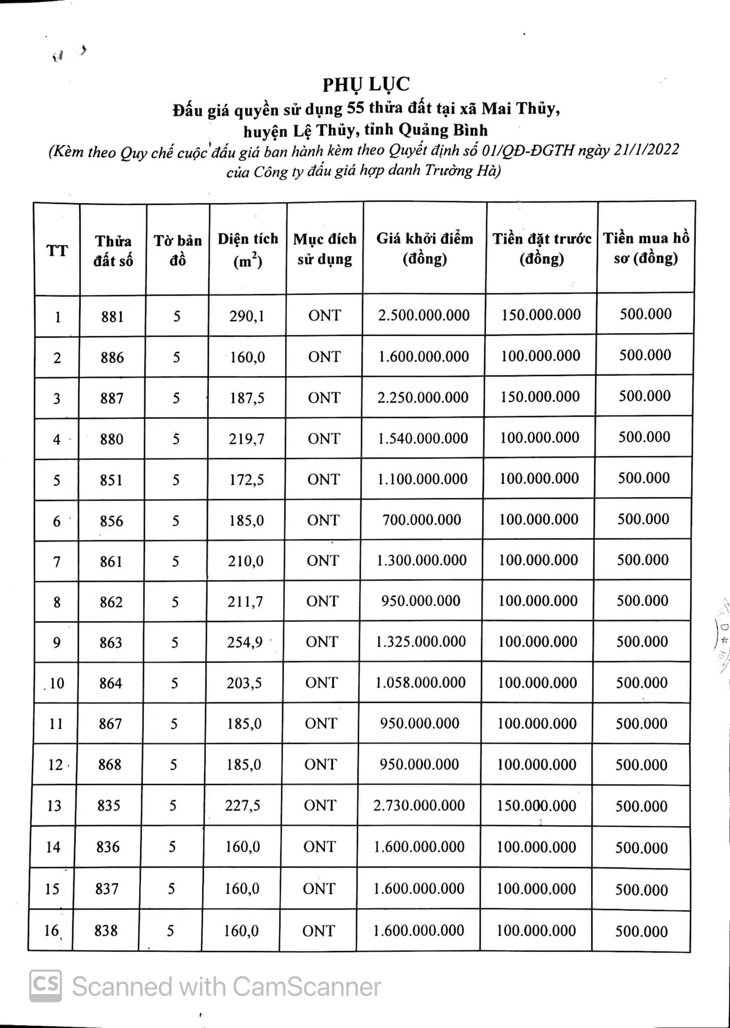
- Đợt 2 đưa ra đấu giá 55 lô đất (tổng diện tích 10.326,9 m2) có diện tích từ 160m2 đến 290,1 m2/lô; giá khởi điểm từ 700.000.000 đồng/lô đến 2.730.000.000 đồng/lô.
- Kết quả đấu giá đợt 2: 36/55 lô, thu được 55.786 triệu đồng, tăng khoảng 8.800 triệu đồng so với giá khởi điểm.
5. Thời gian, địa điểm thực hiện các thủ tục đấu giá tài sản:
- Bán hồ sơ và tiếp nhận hồ sơ tham gia đấu giá: Từ ngày 26/01/2022 đến 16 giờ 30 phút ngày 17/02/2022 tại Ban quản lý dự án Đầu tư xây dựng và phát triển quỹ đất huyện Lệ Thủy;
Xem chi tiết các lô đất: Phụ lục 1, Phụ lục 2, Phụ lục 3
- Nộp tiền đặt trước: Từ ngày 15/02/2022 đến 16 giờ 30 phút 17/02/2022.
(Các thủ tục trên được thực hiện trong giờ hành chính các ngày làm việc)
- Tổ chức buổi công bố giá: Vào lúc 08 giờ 00 phút, ngày 20/02/2022 tại Hội trường Trung tâm văn hóa, Thông tin và Thể thao huyện Lệ Thủy. Địa chỉ: 02 Hùng Vương, thị trấn Kiến Giang, huyện Lệ Thủy, tỉnh Quảng Bình.
Mọi chi tiết xin liên hệ: Công ty Đấu giá hợp danh Trường Hà SĐT: 0232.3896 333.