


1. Vị trí dự án:
Phạm vi ranh giới của khu vực dự án được xác định như sau:
- Phía Tây Bắc: giáp mương xóm Cuồi và ruộng lúa.
- Phía Tây Nam: giáp trung tâm Tiến Hóa và khu dân cư.
- Phía Đông Bắc: giáp khu dân cư và trạm y tế.
- Phía Đông Nam: giáp khu dân cư, trường Mầm non và Quốc lộ 12A.
2. Quy mô đầu tư xây dựng: Tổng diện tích quy hoạch là 4,39 ha, tạo ra 2 ha đất ở chia thành 128 lô đất.
Các hạng mục dự án bao gồm: San nền, hệ thống đường giao thông, thoát nước mưa, thoát nước thải sinh hoạt, cấp nước và cấp điện.
3. Thông tin đấu giá quyền sử dụng đất dự án:
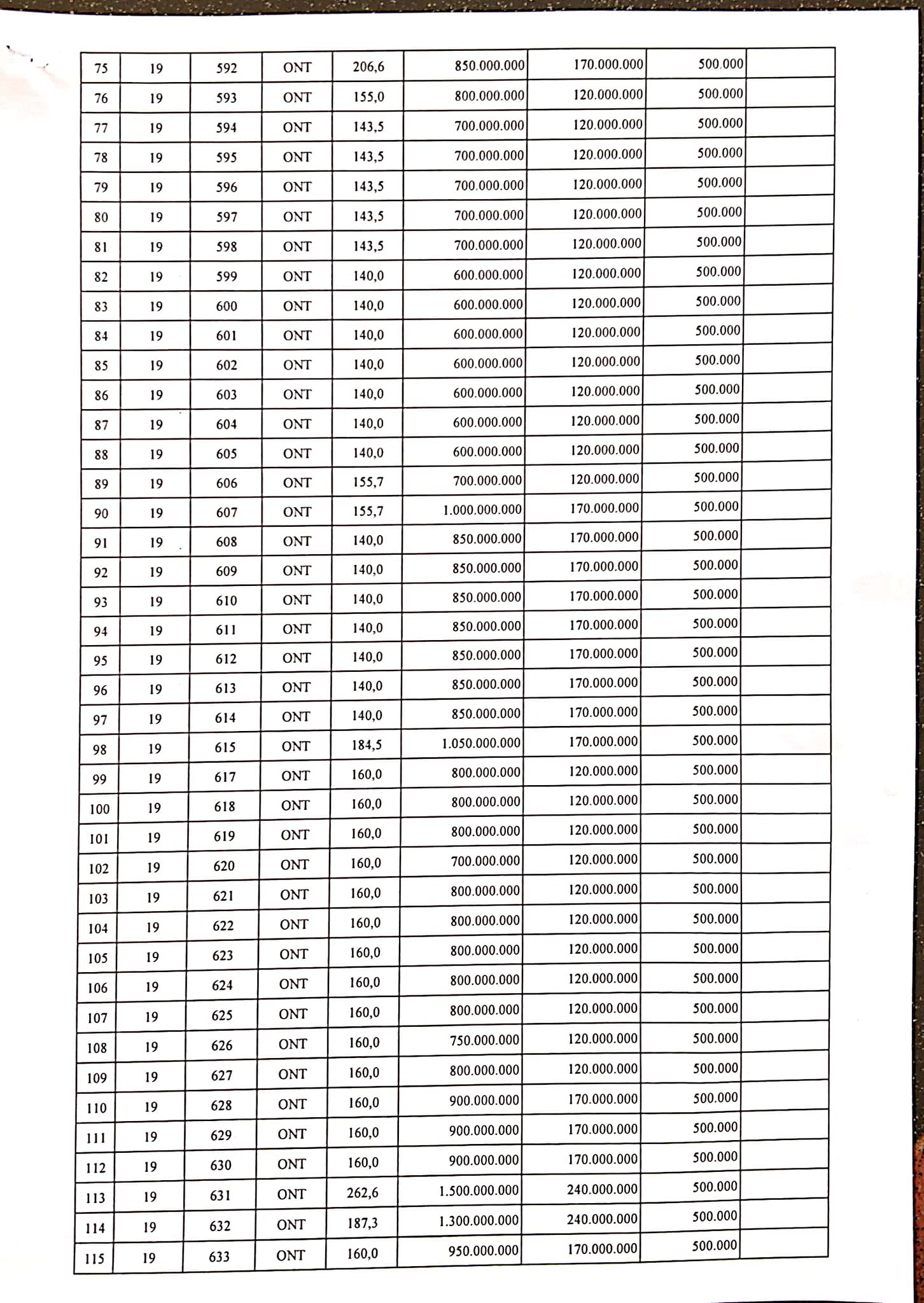
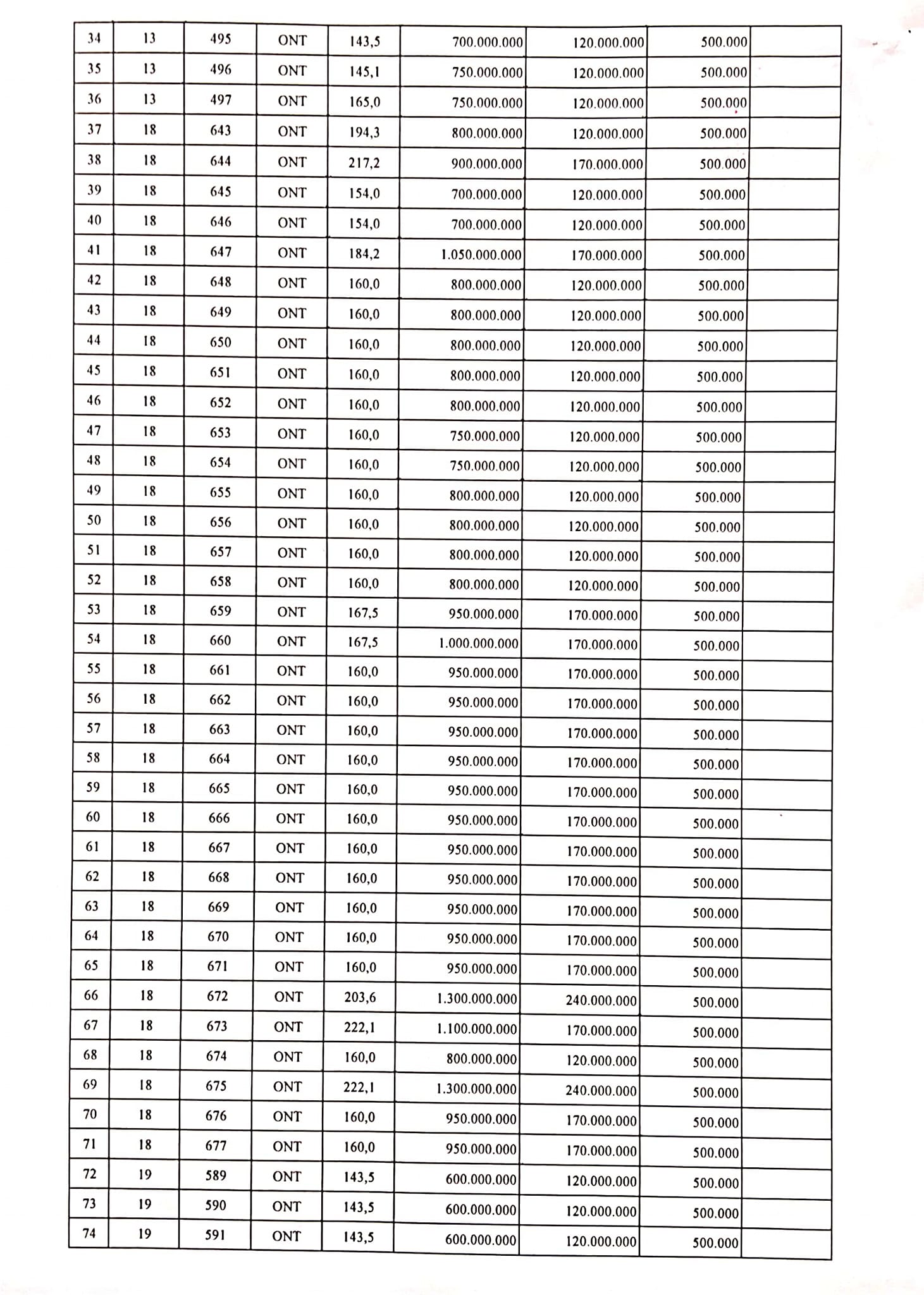
- Đợt 1, từ ngày 21/7/2022 đến ngày 05/8/2022, tổ chức đưa ra đấu giá quyền sử dụng 128 thửa đất (diện tích 20.754,9 m2), có diện tích từ từ 140 m2/thửa đến 162.2 m2/thửa; Giá khởi điểm từ 600.000.000 đồng/thửa đến 1.500.000.000 đồng/thửa. Thông tin các lô đất đấu giá xem Thông báo đấu giá 1, Thông báo đấu giá 2, Phụ lục 1, Phụ lục 2, Phụ lục 3, Phụ lục 4.
4. Kết quả đấu giá:
Ngày 08/8/2022, công bố kết quả đấu giá được 67/128 lô đưa ra đấu giá với số tiền thu được là 60.232 triệu đồng (có diện tích là 10.782 m2), chênh lệch tăng so với giá khởi điểm là 6.682 triệu đồng.