

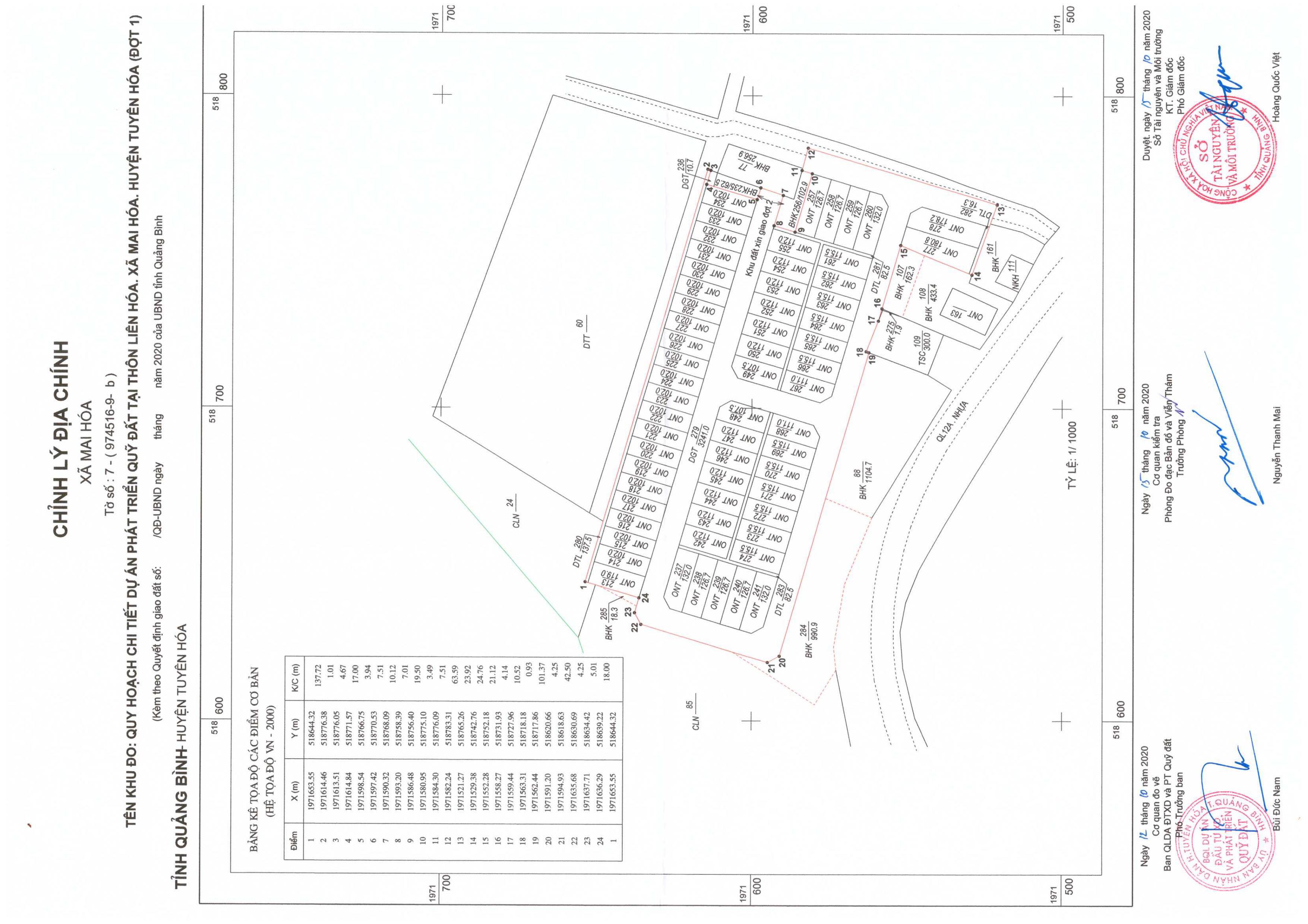
1. Vị trí dự án:
Dự án có ranh giới xác định như sau:
- Phía Bắc giáp sân vận động thôn Liên Hóa.
- Phía Nam giáp Quốc lộ 12A.
- Phía Đông giáp khu dân cư.
- Phía Tây giáp sông Rào Trổ.
2. Quy mô đầu tư xây dựng:
Tổng diện tích quy hoạch là 1,4 ha (trong đó tạo ra 0,76 ha đất ở chia thành 66 lô đất ở) bao gồm các hạng mục: San nền, hệ thống đường giao thông, cấp điện, thoát nước mưa và thoát nước thải sinh hoạt.
3. Thông tin đấu giá đất dự án:
- Đợt 1, từ ngày 29/4/2021 đến ngày 21/5/2021, tổ chức đưa ra đấu giá quyền sử dụng 60 thửa đất (diện tích 6.841,2 m2), với giá khởi điểm 31.500 triệu đồng. Thông tin các lô đất đấu giá xem tại đây.
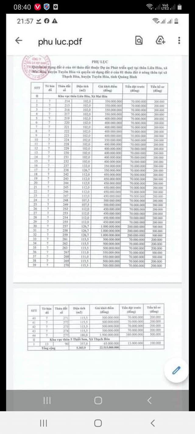
- Đợt 2, từ ngày 05/8/2021 đến ngày 25/8/2021, tổ chức đưa ra đấu giá quyền sử dụng 44 thửa đất (diện tích 4.946,1 m2), với giá khởi điểm 22.450 triệu đồng. Thông tin các lô đất đấu giá xem tại đây.
- Đợt 3, từ ngày 17/5/22 đến ngày 03/6/22, tổ chức đưa ra đấu giá quyền sử dụng 41 thửa đất (diện tích 4552,3 m2), với giá khởi điểm 19.650 triệu đồng. Thông tin các lô đất đấu giá xem tại Phụ lục 01; Phụ lục 02; Phụ lục 03.
4. Kết quả đấu giá quyền sử dụng đất dự án:
- Đợt 1, ngày 24/5/2021, công bố kết quả đấu giá thành công 16/47 lô đất đưa ra đấu giá thu được số tiền 10.054 triệu đồng với tổng diện tích 1.895 m2; chênh lệch tăng so với giá khởi điểm là 1.004 triệu đồng.
- Đợt 2: Ngày 27/9/2021, công bố kết quả đấu giá được 03/44 lô đất thu được số tiền 2.803 triệu đồng với tổng diện tích 393,8 m2 (tăng 03 triệu đồng so với giá khởi điểm).
- Đợt 3: Ngày 06/6/2022, công bố kết quả đấu giá được 13/41 lô đất thu được số tiền 6.994 triệu đồng với tổng diện tích 1.493,1 m2 (tăng 144 triệu đồng so với giá khởi điểm)